Class 9 Chapter 1 Maths Notes are designed strictly according to the CBSE Syllabus Class 9 Maths. This chapter builds the foundation of real numbers, irrational numbers, decimal expansions and laws of exponents.
If you understand this chapter clearly, higher class topics like polynomials and algebra will become much easier. Letβs break down the Number System in the simplest way possibleβstep by step.
Maths Class 9 Chapter 1 Number System Summary
In this chapter, you shall study the foundational concepts of mathematics β the number system. You will begin by understanding what numbers are and how they are categorized into different types.
The chapter explains how real numbers include both rational and irrational numbers and how they can be represented on a number line.Β
You will also learn about the decimal expansion of rational and irrational numbers, how to convert recurring and terminating decimals into fractions and how to rationalise irrational denominators.
Introduction to Number Systems
The number system is the process of representing numbers on the number line using certain rules and symbols. A number line is a depiction of numbers on a straight line with a specified interval between them.Β
The number system is used to do mathematical computations ranging from complex scientific calculations to counting the number of chocolates left in the box. In this chapter, we are going to understand the different types of numbers, their properties and how they interact with each other.
What are Numbers?
A number is an arithmetical value representing a particular quantity. The various types of numbers include natural numbers, whole numbers, integers, rational numbers, irrational numbers and real numbers.Β
These categories help us classify and work with numbers in mathematical operations more efficiently.
Natural Numbers
Natural numbers, denoted by N, are the basic counting numbers starting from 1. They include all positive integers like 1, 2, 3, 4 and so on.Β
Natural numbers do not include zero, decimals or negative numbers. These are the first set of numbers we learn as children when we start counting.
Whole Numbers
Whole numbers, denoted by W, are natural numbers including zero. Hence, the set becomes 0, 1, 2, 3, 4 and so on. Whole numbers do not include negative values, fractions or decimals. Zero is the only number in this set that is not a natural number.
Integers
Integers are numbers that include all whole numbers and their negative counterparts. The set of integers, denoted by Z, includes {... β3, β2, β1, 0, 1, 2, 3...}. Integers do not include fractions or decimals. They are used to represent gains and losses, elevations, temperatures, etc.
Rational Numbers
A number is called a rational number if it can be written in the form p/q, where p and q are integers and q β 0. Rational numbers include all integers, fractions and terminating or recurring decimals. For example, 4, β5/2, 0.75 and 1.333... are all rational numbers.
Irrational Numbers
Any number that cannot be expressed in the form of p/q (where p and q are integers and q β 0) is an irrational number. These numbers have non-terminating and non-repeating decimal expansions. Common examples are β2, Ο and β5. Their values cannot be exactly expressed as fractions.
Properties of Irrational Numbers:
- The negative of an irrational number is also irrational.
- The sum or difference of a rational and an irrational number is always irrational.
- The sum or product of two irrational numbers may be rational or irrational.
- The product of a rational number and an irrational number is irrational unless the rational number is zero.
Identities Involving Irrational Numbers
Some useful identities to simplify expressions with surds and irrational numbers:
- β(ab) = βa Γ βb
- (βa + βb)(βa β βb) = a β b
- (a + βb)(a β βb) = aΒ² β b
- (βa + βb)(βc + βd) = βac + βad + βbc + βbd
- (βa + βb)(βc β βd) = βac β βad + βbc β βbd
- (βa + βb)Β² = a + 2βab + b
These are frequently used in algebraic manipulations and simplifications involving real numbers.
Proof that β2 is Irrational
Assume β2 is rational. So β2 = p/q (in lowest form)
Squaring both sides β 2 = p2 / q2 β p2 = 2q2
This shows p2 is even β p is even.
Let p = 2k
Substitute β (2k)2 = 2q2 β 4k2 = 2q2 β q2 = 2k2
So q is also even. This contradicts the assumption that p/q is in lowest form. Therefore, β2 is irrational.
Real Numbers
The set of real numbers, denoted by R, includes both rational and irrational numbers. Every real number can be represented on the number line. This means every point on the number line corresponds to a real number. Real numbers include values like β3, 0, β2, 3.14, etc.
Euclidβs Division Lemma
For any two positive integers a and b: a = bq + r, where: 0 β€ r < b. This is used to find HCF of numbers.

Euclidβs Division Lemma
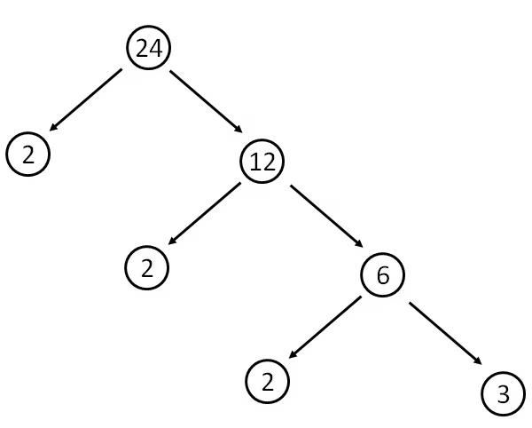
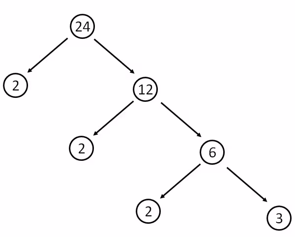
Fundamental Theorem of Arithmetic
Every composite number can be expressed as a product of prime numbers, and this factorisation is unique (except for order). For example, 24 = 2 Γ 2 Γ 2 Γ 3.

Prime factorisation tree of 24 Class 9 Maths
Representation of βx on Number Line
Steps:
- Draw AB = x units
- Extend to C such that BC = 1
- Find midpoint of AC
- Draw semicircle
- Drop perpendicular from B
BD = βx

Construction of square root on number line Class 9
Decimal Representation of Rational Numbers
Rational numbers can be expressed in decimal form by dividing the numerator by the denominator. The decimal expansion can either terminate or become non-terminating but recurring.
Examples:
- 1/2 = 0.5 (terminating)
- 1/3 = 0.333β¦ (non-terminating recurring)
If the prime factors of the denominator (after simplification) are only 2 and/or 5, the decimal is terminated. Otherwise, it is recurring.
Decimal Expansion of Rational and Irrational Numbers
If the denominator (in lowest form) has only prime factors 2 and/or 5 β decimal terminates. Otherwise β decimal is non-terminating, recurring. For example:
- 1/8 = 0.125 (terminating)
- 1/3 = 0.333β¦ (recurring)
Expressing Decimals as Rational Numbers
Let x = 0.333β¦ β 10x = 3.333β¦
Subtract β 10x β x = 3 β 9x = 3
β x = 1/3
Rationalisation
Rationalisation is the process of eliminating irrational numbers from the denominator of a fraction. This helps in making the number easier to work with, especially in further calculations or representations on a number line. For example, to rationalise 1/β2
Multiply numerator & denominator by β2 β β2 / 2
Laws of Exponents for Real Numbers
For real numbers a and b and integers m and n:
- am Γ an = am+n
- (am)n = amn
- am / aβΏ = amβn
- (ab)m = am Γ bm
- a0 = 1 (a β 0)
- aβn = 1/an
Practice Questions on Number System
Solve the following questions for better practice and better marks in exams.
- Prove that β5 is irrational.
- Find HCF of 306 and 657 using Euclidβs Division Algorithm.
- Determine whether 77/2100 will terminate or recur.
- Represent β7 on a number line.
- Convert 0.272727β¦ into rational form.
FAQs
Q1. What is Euclidβs Division Lemma in Class 9 Maths?
Ans. Euclidβs Division Lemma states that for any two positive integers a and b,
a = bq + r, where 0 β€ r < b. This lemma is commonly used to find the HCF of numbers and is explained with examples in the Class 9 Maths NCERT Book.
Q2. How do you know if a rational number will terminate?
Ans. A rational number will have a terminating decimal expansion if the denominator in its lowest form contains only the prime factors 2 and/or 5. Otherwise, the decimal expansion will be recurring.
Q3. Is β2 a real number?
Ans. Yes, β2 is an irrational number, and all irrational numbers are part of the set of real numbers. Its decimal expansion is non-terminating and non-repeating.
Q4. What is the difference between rational and irrational numbers?
Ans. Rational numbers can be written in the form p/q, where q β 0, while irrational numbers cannot be expressed in this form and have non-terminating, non-repeating decimal expansions.
Q5. Why is the Fundamental Theorem of Arithmetic important?
Ans. The Fundamental Theorem of Arithmetic states that every composite number can be expressed as a product of prime numbers in a unique way. This concept is useful for understanding properties of numbers and decimal expansions.
Q6. Where can students find clear Class 9 Number Systems notes for quick revision?
Ans. Students can find Class 9 Number Systems notes on trusted educational platforms like Educart, where the chapter is explained with definitions, properties, and solved examples to make revision easier before exams.
Q7. How can students practice important questions from the Number Systems chapter?
Ans. Students can strengthen their preparation by solving Class 9 Maths Important Questions, which include exam-oriented problems based on rational numbers, irrational numbers, and number properties.






.avif)






