You must have studied motion along a straight line but a very few things move only in a straight path. Think about a football kicked into the air, a car taking a turn, or even planets moving around the Sun. All these involve motion in two dimensions, which is what this chapter is all about.
In this chapter, we’ll learn about scalars and vectors, how to add and resolve them, and how they help in describing two-dimensional motion. We’ll also understand projectile motion and circular motion, which are everywhere in daily life To see where this chapter is placed in the curriculum, check the Class 11 Physics Syllabus.
The goal here is not just to solve equations, but to actually see physics in action. Let’s go step by step. You’ll find it easier than you think!
Motion in a Plane Summary
In the previous chapter, we studied motion in a straight line, i.e., one-dimensional motion. However, many physical situations involve motion in two or three dimensions.
A ball thrown at an angle, a car taking a turn, or the motion of planets around the Sun are not restricted to one direction. In such cases, the motion must be described in a plane (two dimensions) or space (three dimensions).
This chapter deals with the study of motion in a plane, with special emphasis on vector methods that simplify the analysis of such motions.
Scalars and Vectors
- Scalar quantities are quantities that have only magnitude but no direction (e.g., mass, time, temperature, speed).
- Vector quantities are those that have both magnitude and direction (e.g., displacement, velocity, acceleration, force).
For example, a car traveling 40 km east has a vector displacement (magnitude = 40 km, direction = east), whereas the distance of 40 km is only a scalar.
Representation of Vectors
A vector is represented by a straight line with an arrowhead. The length of the line shows the magnitude, and the arrowhead shows the direction.
Vectors are usually denoted by bold letters (A, B) or with a cap over them (^).
- Equal Vectors: Two vectors are equal if they have the same magnitude and direction, irrespective of their initial points.
- Negative Vector: A vector with the same magnitude but opposite direction.
- Null/ Zero Vector: A vector of zero magnitude, with arbitrary direction.
Position Vector
The position of a point in a plane is described using coordinates (x, y). The position vector of a point P(x, y) with respect to the origin O is:

where î and ĵ are unit vectors along the x-axis and y-axis respectively.
Equality of Vectors

Addition and Subtraction of Vectors
Vector addition can be done using the following rules:
(a) Triangle Law of Vector Addition
If two vectors are represented in magnitude and direction by the two sides of a triangle taken in order, their sum (resultant) is represented by the third side of the triangle taken in the opposite order.
(b) Parallelogram Law of Vector Addition
If two vectors are represented by two adjacent sides of a parallelogram, their resultant is given by the diagonal passing through the common point.


(c) Subtraction of Vectors
Subtraction is defined as addition of the negative vector:
If a vector A makes an angle θ with the x-axis:

Resolution of Vectors
Any vector can be resolved into two components along two perpendicular directions (usually x-axis and y-axis).
If a vector A makes an angle θ with the x-axis:

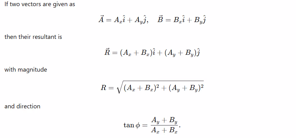
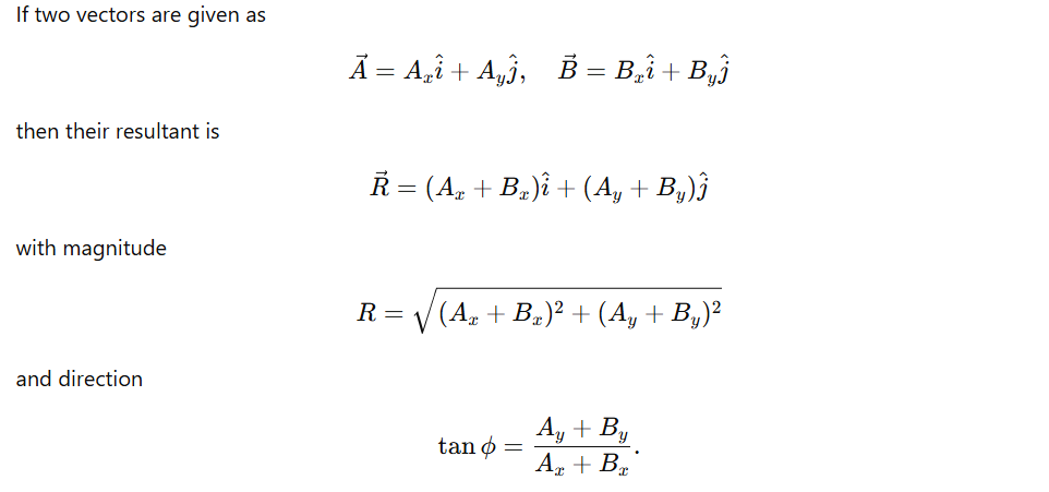
Vector Addition by Components
If two vectors are given as:

Vector Subtraction by Components
Vector subtraction is defined as:
Multiplication of Vectors
There are two types of vector multiplication:
(a) Dot Product (Scalar Product)

The result is a scalar. Example: work done (F . d), power.
In component form:

Dot product gives a scalar quantity.
(b) Cross Product (Vector Product)

Where n is a unit vector perpendicular to the plane containing A and B.
The result is a vector. Example: torque (T = r x F)
Magnitude:

Direction is perpendicular to the plane (right-hand rule).
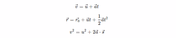
Motion in a Plane with Constant Acceleration
The equations of motion studied in one dimension can be extended to two dimensions by treating them as vector equations:

Projectile Motion
One of the most important applications of motion in a plane is projectile motion. A projectile is an object thrown with some initial velocity and then allowed to move under the influence of gravity alone.
- The path of a projectile is a parabola.
- Suppose a particle is projected with velocity uu at an angle θ\theta with the horizontal.

- Component of Velocity
ux = u cos θ
uy = u sin θ - Position at time t:
x = u cos θt
y = u sin θt - 1/2gt2 - Equation of Trajectory
y = x tan θ - gx2 / 2u2cos2 θ (parabolic path) - Time of Flight
T = 2u sin θ/g - Maximum Height
H = u2sin2 θ/2g - Horizontal Range
R = u2sin 2θ/g (Maximum range at 45°)
Uniform Circular Motion
Another important case of motion in a plane is uniform circular motion. A body moving with constant speed in a circle is said to undergo uniform circular motion.
- Speed is constant, but velocity changes due to change in direction.
- The acceleration is always directed towards the center of the circle and is called centripetal acceleration.
If a particle moves in a circle of radius r with speed v, then
The force responsible is ⇒ ac = v2/r ⇒ ac = ω2r
Conclusion
That’s a wrap on Motion in a Plane! If the chapter felt a little heavy, don’t worry — it gets easier with practice. Just remember the big ideas: vectors help describe motion clearly, projectiles move in parabolic paths, and circular motion always involves centripetal acceleration.
Whenever you feel confused, connect the formulas to real-life examples like a thrown ball or a turning car. Revise the key formulas regularly, and you’ll be fully confident before your exam.
FAQs
Q1. What is uniform circular motion?
Ans. It is the motion of an object moving at constant speed along a circular path, where velocity changes due to direction.
Q2. What provides centripetal force in circular motion?
Ans. A force directed towards the center of the circle (like tension, friction, or gravity) provides the centripetal force.
Q3. How do we represent vectors graphically?
Ans. Vectors are represented by arrows, where the length shows magnitude and the arrowhead shows direction.
Q4. What are the methods of vector addition?
Ans. Vector addition can be done using the triangle law, parallelogram law, and polygon law of vectors.
Q5. What is the difference between scalar and vector quantities?
Ans. Scalar has only magnitude (e.g., speed, mass), while vector has both magnitude and direction (e.g., velocity, force).






.avif)






